MILTON


Pallasite, ungrouped
Possible CV clan
standby for milton photo
Found October 2000
40° 17' 15" N., 95° 22' 36" W.

While clearing rocks from his soybean field in Fairfax, Missouri, G. Wennihan found an unusually heavy one that had a rusty appearance. He tossed this 2,038 g rock into the back of his pickup truck to save. The large mass was eventually cut in half, and the unique appearance of the interior raised speculations that it originated in space. Eventually a friend of his who was a geology student, B. Rogers, took the strange rock to the geology department of Northwest Missouri State University where it was cleaned and examined. Although assistant geology professor Richard Felton and several faculty members examined the rock, it was Dr. Renee Rohs who recognized its resemblance to an Imilac specimen that she had seen years earlier while attending a class taught by Dr. Van Schmus (Horejsi and Cilz, 2002). Reasonably, the rock was taken to Dr. Van Schmus at the University of Kansas for his qualified opinion, and he immediately recognized that it was a pallasite. Samples of the pallasite were sent to the Institute of Meteoritics at University of New Mexico and to UCLA for thorough analyses.

Milton has a high abundance of small, angular olivines (73 vol%, Fo84.1) within an FeNi-metal matrix (Jones et al., 2003). The metal composition is relatively homogeneous with respect to siderophile and highly siderophile elements. Chemical, mineral, and O-isotopic data indicate that Milton is not genetically related to other pallasites. The metal in Milton lacks taenite cloudy zones and shows no evidence of shock reheating, which attests to the fastest cooling rate among pallasites at >5000K/m.y. (Yang et al., 2010). The olivine in Milton is zoned in Ca and Cr, and has a higher molar Fe/Mn ratio than that of other pallasites. Likewise, the composition of the FeNi-metal is different from that of the main-group and Eagle Station pallasite groups. In addition, Milton has O-isotopic ratios that are distinct from all other pallasite groups, and as with the Eagle Station group, Milton demonstrates a relationship with the carbonaceous chondrite anhydrous mineral mixing line (slope = 0.94 ±0.01). Notably, the O-isotopic ratios for both Milton and the Eagle Station group pallasites plot proximate to an extension of the trend line for the CV–CK chondrites.

Oxygen Isotope Composition of Ungrouped Pallasites
standby for oxygen isotope diagram
click on image for a magnified view

Diagram credit: Liu et al., 54th LPSC, #1235 (2023)

Some ungrouped irons have similar O-isotopic ratios to Milton but have significantly different iron chemistry, which excludes a genetic relationship. However, it was argued by Reynolds et al. (2006) that the high-Ni irons which comprise the South Byron Trio (SBT: Babb's Mill [Troost's], South Byron, Inland Forts [ILD] 83500) have metal compositions (siderophile element patterns) and structures (kamacite spindles and associated schreibersite) similar to that in Milton, and therefore these meteorites might constitute a grouplet that originated on a common parent body. Moreover, all of these irons and the metal in Milton experienced a similar oxidation history during core formation, as evidenced by the presence of FeO-rich olivine, chromite, and phosphate, as well as the depletions in other easily oxidized elements (McCoy et al., 2008). Siderophile element abundances for these four meteorites were shown by McCoy et al. (2017) to have very similar values. Interestingly, isotopic compositions (Mo, Ru, and W) and HSE abundances of the IVB irons and the Milton–SBT grouping fall within the range of the oxidized CV–CK chondrites (Hilton et al., 2018).

Carbonaceous vs. Non-carbonaceous Irons
standby for milton-sbt mo diagram
Diagram credit: Hilton et al., 49th LPSC, #1186 (2018)

McCoy et al. (2017) also recognized that the presence of volatile siderophile elements in these meteorites indicates they were not derived from a high-temperature condensation process contrary to other high-Ni iron groups such as IVA, but instead oxidation (nebular or parent body) and fractional crystallization were the dominant formation processes. The Milton pallasite is a product of an early stage of fractional crystallization compared to the main-group pallasites, as well as with regard to its fractional crystallization sequence among the South Byron Trio irons. Based on HSE abundance patterns, Hilton et al. (2018) concluded that Babb's Mill (Troost's) was first in the sequence (representing the first 1% of crystallized melt) followed soon thereafter by South Byron (2%), with ILD 83500 having the highest content of incompatible P being last in the sequence (42%). If Milton is part of a core–mantle boundary then crystallization apparently proceeded inwards similar to the crystallization process some envision for the IVA and IIIAB irons following mantle removal on their respective parent bodies. In their analyses of O-isotopic compositions in chromite for these four meteorites, McCoy et al. (2017) demonstrated that they plot along a similar trend line on an oxygen three-isotope diagram (see below). Together with previous petrographic and geochemical data, this new O-isotopic data provides strong evidence supporting a common source parent body.

standby for o-isotopic diagram
Diagram credit: McCoy et al., 48th LPSC, #2241 (2017)

In an investigation of HSE abundances in the South Byron Trio magmatic irons and the metal in the Milton pallasite, Hilton et al. (2019) determined that the Milton metal does not fit the same fractional crystallization sequence as the SBT irons. Moreover, no other petrogenetic model was successful in accounting for the HSE differences between them. Therefore, they argue that the parental source melt for Milton is not related to that for the SBT irons and that it likely derives from a separate parent body. From the results of this study they could only deduce that Milton and the SBT irons accreted from similar precursor materials in a similar isotopic region (CC) of the protoplanetary disk.

standby for fractional crystallization diagram
Diagram credit: Hilton et al., GCA, vol. 251, pp. 217–228 (2019)
'Genetics, crystallization sequence, and age of the South Byron Trio iron meteorites:
New insights to carbonaceous chondrite (CC) type parent bodies'
(https://doi.org/10.1016/j.gca.2019.02.035)

In addition to the irons mentioned above, several other ungrouped ataxites could be members of this high-Ni iron group, including El Qoseir, Illinois Gulch, Morradal, Nordheim, and Tucson. However, because of the significant differences that exist in their content of refractory elements compared to that in the South Byron trio, further work is needed to establish a definitive connection (Kissin, 2010). Investigators have also explored the possibility of a genetic relationship between IVB irons and other meteorite groups. Based on O-isotopic analyses utilizing chromite grains from IVB irons Warburton Range and Hoba, Corrigan et al. (2017) found that IVB irons share close similarities to the Milton–South Byron trio grouping (MSB in diagram below). The O-isotopic compositions of the IVB irons and the MSB grouping also fall within the range of the oxidized CV–CK chondrites. Moreover, Corrigan and McCoy (2018) found that both IVB irons and the MSB grouping show evidence for early oxidation (e.g., both have a similar high Ni content of ~15.5–18 wt% and ~15–18 wt%, respectively), as well as evidence for late reduction (e.g., both contain reduced mineral phases such as troilite, daubréelite, and schreibersite).

standby for o-isotopic relationship between groups diagram
Diagram credit: Corrigan et al., 48h LPSC, #2556 (2017)
Hoba: Δ17O = –3.4 [±0.2] ‰
Warburton Range: Δ17O = –3.4 [±0.4] ‰
Milton–South Byron trio: Δ17O = ~ –3.6 [±0.6] ‰

Silicate phases in Milton are enriched in the siderophile and highly siderophile elements which typically partition into metal phases (Hillebrand et al., 2004). Because of the unusual homogeneity of its metal and silicates, Milton has served as a good tool for J. Hillebrand (2004) to determine the in situ metal/silicate partition coefficients of a pallasite. Milton is a unique representative of its parent asteroid, and demonstrates that the petrogenesis of pallasites must have occurred in a similar way on multiple parent bodies. Interestingly, the ungrouped metachondrite NWA 10503 has been conjectured to have a possible affinity to the Milton pallasite (Irving et al., 2016). Not only does this unique meteorite share with Milton an association with carbonaceous chondrites as attested by their elevated silicate FeO/MnO ratios, but it also falls along an extension of the trend line established by Milton on an oxygen three-isotope diagram (see below).

standby for nwa 10503 o-isotope diagram
click on image for a magnified view

Diagram credit: Irving et al., 79th MetSoc, #6461 (2016)

In an effort to better resolve potential genetic relationship that might exist between Milton and the CV chondrites, a Cr-isotopic analysis of olivine from the Milton pallasite was conducted by Sanborn et al. (2018). It is demonstrated on a coupled Δ17O vs. ε54Cr diagram (shown below) that Milton plots among the CV clan and plausibly shares a genetic relationship, but also that Eagle Station plots closer to the CK (or CO) chondrite group. It could be inferred that both the CV and CK planetesimals experienced a similar petrogenetic history in a similar isotopic reservoir of the nascent Solar System.

Chromium vs. Oxygen Isotope Plot
standby for o-cr diagram
click on diagram for a magnified view

Diagram credit: Sanborn et al., 49th LPSC, #1780 (2018)

To further resolve differences between the CV and CK chondrite groups, Yin and Sanborn (2019) analyzed Cr isotopes in a significant number and broad range of meteorites. Their study included samples from each of the three CV subgroups (oxA, oxB, Red), anomalous CV3 chondrites, a C3-ungrouped, several CK members, and other potential CV-related meteorites including NWA 10503 and Milton (see top diagram below). It is demonstrated that the CV and CK meteorites are clearly resolved into two distinct isotopic reservoirs. In addition, it is shown by the ε54Cr values that NWA 10503 plots among the CV-related meteorites. A coupled Δ17O vs. ε54Cr diagram plotting all of the meteorites in their study is shown at the bottom below.

Cr Isotope Weighted Average For CV and CK Chondrites
standby for cv and ck cr isotope diagram
click on photo for a magnified view

17O vs. ε54Cr Diagram For CV and CK Chondrites
CK: orange shades; CV: green shades; Achondrites: open
standby for cv and ck cr isotope diagram
click on photo for a magnified view

Diagrams credit: Yin and Sanborn et al., 50th LPSC, #3023 (2019)

Importantly, Cuppone et al. (2024 #6029) noted that NWA 13489 plots on the same O-isotope trend line as several other ungrouped CC meteorites formerly recognized by Irving et al. (2019 #2542), who gave it the unofficial name 'CX trend' (see first diagram below). In addition to having a similar O-isotopic trend, NWA 13489 and NWA 11961 have identical (within error) ε54Cr values of +1.50, which indicates they likely have a genetic connection. At the same time, 54Cr isotope data obtained for several other meteorites have resolved both NWA 11961 and NWA 12264 as two potentially new carbonaceous parent bodies, and suggest that the parent body of NWA 13489 and NWA 11961 may be distinct from that of NWA 10503 and Milton, the latter two previously considered possible members of the CV-clan (see second diagram below). However, further in-depth analyses of NWA 13489 conducted by Cuppone et al. (2025) has led them to revisit whether a genetic relationship exists between all four meteorites—NWA 13489, NWA 11961, NWA 10503/10859, and Milton—and based on many factors, they now consider such a relationship to be plausible (see third diagram below).

1. 'CX' Oxygen Isotope Trend Line
standby for 'cx' oxygen isotope trend diagram
click on image for a magnified view

2. O–Cr Diagram for 'CX' Trend Meteorites
NWA 11961 mean Δ17O = –2.87‰ (SD = 1.89)
NWA 13489 mean Δ17O = –3.010‰; NWA 13489 mean ε54Cr = +1.50 (Cuppone et al., 2024)

standby for o vs. cr isotope diagram
click on image for a magnified view

Diagrams credit: Irving et al., 50th LPSC, #2542 (2019)
'Evidence For A Unique Carbonaceous Chondrite Parent Body ('CX') And Another One With A Dunitic Mantle'

3. Oxygen and Chromium Isotopic Plots for NWA 13489
standby for oxygen and chromium isotope diagrams
click on image for a magnified view

Diagram credit: Cuppone et al., MAPS, vol. 60, #8, pp. 1861–1876, fig. 8 (2025, open access link)
'Northwest Africa 13489: A Strongly Metamorphosed Ungrouped Carbonaceous Chondrite'
(https://doi.org/10.1111/maps.70007)

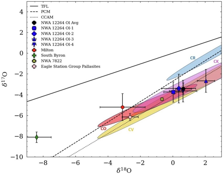
In addition, Rider-Stokes et al. (2025) presented an alternative scenario in which the three meteorites, Milton, South Byron, and NWA 12264, form an extended trend line in oxygen isotopic space, potentially representing portions of a common, now disrupted parent body (see diagram below). Further research will be necessary to resolve the current grouping conundrum.

Oxygen Three-Isotope Plot for NWA 12264
standby for oxygen three-isotope diagram
Diagram credit: Rider-Stokes et al., Communications Earth & Environment, vol. 6, art. 524, fig. 5 (2025 open access link)
'Rapid protoplanet formation in the outer Solar System recorded in a dunite from the carbonaceous chondrite reservoir'
(https://doi.org/10.1038/s43247-025-02483-y)

Based on all of the data gathered so far, it could be concluded that the pallasites in our collections represent at least fourteen separate parent bodies: (1a) main-group high-Δ17O; (1b) main-group low-Δ17O; (2) Eagle Station group; (3) Milton; (4) Vermillion + Y-8451 + Khatgal; (5) Zinder + NWA 1911; (6) Choteau; (7) NWA 10019 ± Bordj Badji Mokhtar 001; (8) LoV 263; 9) Hassi el Biod 002; (10) Lieksa; (11) Mont Tourniat 001; (12) Gyarub Zangbo; (13) NWA 16734; (14) NEA 081. In addition, several pallasites with anomalous silicates (e.g., Springwater) and anomalous metal (e.g., Glorieta Mountain) could possibly increase the number of unique parent bodies. The specimen of Milton shown above is a 40.1 g partial slice sectioned from an 85 g slice that was acquired from the owner of the main mass, J. Piatek. The top two photos below show the cut face of a 500 g end section and the natural surface of a 677 g end section of Milton. The bottom photo shows a 2 cm-wide magnified image of an interior slice of Milton, courtesy of Dr. Laurence Garvie.

standby for milton photo
standby for milton photo
Photos courtesy of Dr. Jay Piatek

standby for milton close-up photo
Photo courtesy of Dr. Laurence Garvie—Arizona State University